
导读
准连续波激光定向能量沉积 (QCW-DED) 是定向能量沉积 (DED) 的一种,由于其能够减少热变形并提高所制造部件的性能,近年来引起了越来越多的关注。然而,准连续波 (QCW) 激光与熔池表面之间的相互作用及其对熔池动力学和形貌的后续影响仍不清楚。在本文中,开发了一种耦合的射线追踪计算流体动力学 (CFD) 模型,该模型集成了激光-粉末相互作用模型和材料沉积模型,以研究 QCW-DED 过程中的多物理场耦合特性。量化了激光射线和熔池表面之间的入射角,并分析了相应的激光吸收率。在考虑激光-表面相互作用的影响后,随后研究了熔池内的传热和流体动力学。采用傅里叶数(Fo)、佩克莱特数(Pe)、马兰戈尼数(Ma)和格拉斯霍夫数(Gr)等几个无量纲数来阐明熔池演变的物理机制。结果表明,在QCW-DED过程中,熔池内的传热由热对流和热传导交替控制。此外,与连续波激光定向能量沉积(CW-DED)过程相比,QCW-DED过程中的马兰戈尼效应和浮力效应较弱。然而,QCW-DED过程中熔池的散热能力更强。最后,计算的熔池几何形状与实验结果一致性较好,相对误差小于14.5%。这项工作为深入了解QCW-DED过程中激光-表面相互作用和熔池内的动力学行为提供了更深入的见解。所开发的模型还可以作为理解QCW-DED形成机制、预测沉积质量和优化工艺的基本工具。
主要图表
图1. DED过程的实验装置(a)和示意图(b)。
图 2. SS 316 L 粉末的直径分布。
图3.激光与粉末相互作用的示意图:(a)等距视图和(b)横截面视图。
图 4. 表面张力及其梯度(表面张力系数)与温度的关系。
图 5. 射线追踪算法示意图:(a)激光束离散化,(b)射线在自由表面上的反射,(c)射线传播和反射,(d)射线在并行计算域中的传播。
图6.计算域示意图。
图 7. 不同热输入条件下模拟的温度场和熔池几何形状:(a)CW(激光功率:800 W,扫描速度:15 mm/s)和(b)QCW(激光功率:800 W,扫描速度:15 mm/s,频率:50 Hz,占空比:75%)。
图 8. 计算的 CW 和 QCW 情况下的激光-表面相互作用过程与时间的关系:(a)激光-表面角度和(b)激光吸收率。
图 9. 计算的 CW 情况下熔池温度场和流动模式:(a)温度场和流动方向和(b)流体流线。 激光功率:800 W,扫描速度:15 mm/s。
图 10. 计算得出的 QCW 情况下熔池的温度场和流动模式:(a1)-(d1) 温度场和流动方向以及 (a2)-(d2) 流体流线。激光功率:800 W,扫描速度:15 mm/s,频率:50 Hz,占空比 75%。
图 11. 计算得出的 CW 和 QCW 情况下金属流体的峰值温度和峰值速度随时间的变化:(a) 峰值温度和 (b) 峰值速度。
图 12. 计算 CW 和 QCW 情况下熔池平均温度和温度不均匀性随时间的变化:(a) 平均温度和 (b) 温度不均匀性。
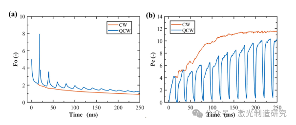
图 13. 计算得出的 CW 和 QCW 情况下熔池随时间变化的无量纲数:(a) 傅立叶数和 (b) 佩克莱特数。
图 14. 计算得到的熔池表面表面张力系数 (γT):(a) CW 情况的表面张力系数 (γT) 和 (b) QCW 情况的平均表面张力系数 (|γT |)。
图 15. 计算的 QCW 熔池无量纲数:(a)马兰戈尼数和(b)格拉斯霍夫数。
图 16. QCW 案例沉积层的表面形貌。 (a)实验表面形貌(20 Hz)和不同频率下的模拟表面形貌:(b)20 Hz 和(c)50 Hz。(激光功率:800 W;扫描速度:15 mm/s;占空比:75%)。
图 17. 不同占空比下沉积层的实验和预测横截面轮廓:(a)50%、(b)75% 和(c)100%。激光功率:800 W;扫描速度:15 mm/s;激光频率:50 Hz。
图 18. 不同占空比下实验和计算的粉末收集效率 (PCE)。
主要结论
本文提出了一个耦合激光-粉末相互作用和射线追踪的综合模型来研究QCW-DED过程中的热流行为,定量表征了QCW-DED和CW-DED过程中激光-表面相互作用的规律,综合比较了QCW和CW情况下的无量纲数,分析了不同占空比下的熔池形状和PCE。主要结论如下:
(1)在激光-表面相互作用过程中,无论是CW-DED还是QCW-DED过程,激光光束中心前端的平均入射角均大于后端的平均入射角。此外,在CW和QCW情况下,相对稳定的全局激光吸收率约为0.345。
(2)对于CW情况,熔池顶部和底部有两个小涡旋和两个大涡旋。对于QCW情况,激光开启期间的流型与CW情况相似。然而,对于QCW情况,激光关闭期间只有两个涡流。
(3)无量纲数分析表明,对于QCW-DED过程,熔池内的主要传热由热对流和热传导交替控制。而对于CW-DED过程,热对流是主要的传热机制。此外,与CW-DED过程相比,QCW-DED过程中的Marangoni效应和浮力效应较小。尽管如此,QCW-DED过程中熔池具有更强的散热能力。
(4)对于QCW-DED过程,表面存在周期性的凝固织构,织构间距由激光频率和扫描速度决定。且PCE随着占空比的增加而增大,说明较大的占空比有利于提高粉末颗粒的利用率。
主要信息
Investigation of thermal behavior and fluid dynamics within molten pool during quasi-continuous-wave laser directed energy deposition
https://doi.org/10.1016/j.ijheatmasstransfer.2025.126704
(来源:激光制造研究)
