近期,由西安航空学院、陕西航天动力研究所、中航工业以及西北农林科技大学的相关学者研究了在不同叶顶间隙条件下,航天高速离心泵的空化特性。研究对象为一种低温半开式叶轮高速离心泵,使用乙二醇水溶液作为工作介质。他们进行了实验和数值模拟,分析了不同进口负压下的空化特性和气泡分布,特别关注叶顶间隙大小对空化影响的研究。成果显示叶顶间隙尺寸增加时,流体粘度的影响减少,而压差的主导作用变得更为显著。确定了叶顶间隙对空化特性有显著影响,较大的间隙提供了更稳定的空化特性和较小的气泡体积和强度。发现了不同叶顶间隙条件下,气泡体积和强度的显著减少。该研究为航天高速离心泵在轨运行的可靠性提供了重要的理论和实验支持,特别是在考虑空化防护和泵设计改进方面提供了新的见解。相关研究成果发表在Nature Scientific Report上。

一、前言
在半开式复合叶轮离心泵的运行过程中,叶轮和蜗壳之间保留有一定间隙,称为尖隙,以防止刮擦和碰撞。由于介质的粘度不足以维持吸水面和压水面在尖隙处的压力差,流体会从压力面绕过叶片端面流向吸水面,导致尖隙流动空化。蜗壳内壁的主流、次流和边界层都对间隙流的形成和增长有影响。尽管间隙流区域相比于主流区域较小,但尖端区域的空化非常复杂,常伴有尖隙空化、射流剪切层空化、尖漏涡空化和叶片吸力面片空化。使用水作为介质,研究人员目前已经分析和解释了尖涡空化和尖隙空化的特性。Yoshihara和Shen观察到空化内部的流速远低于主流区域,且空化与主流区域之间的界面压力基本等同于当时的空化压力。他们对不同湍流模型对间隙泄漏空化计算及其流动特性的影响进行了比较。结果显示,当间隙较小时,翼型间隙内的剪切空化更为剧烈,而翼型上方的泄漏空化距离翼型表面更远。Hu Shuai、Cao Wenxiong等利用混合多相流模型和空化模型对高速离心泵在不同进口总压条件下进行了流场分析和空化实验研究。随着空化系数的降低,气泡体积逐渐占据整个叶轮通道,气泡分布从非对称结构转变为对称结构。当有效空化余量达到一定值时,扬程开始缓慢下降,然后突然减少。与扬程下降3%相关的临界空化余量也进行了研究。还研究了不同流量下高速燃料泵空化的流场和压力瞬态特性。在不同的流量下,结果表明气泡首先在叶片的前缘生成。随着空化数的减小,气泡在叶片的根部和后表面形成。流动模拟用于比较当前离心泵和优化离心泵的空化余量及蒸汽质量分数,优化后的航空离心泵的空化余量比当前离心泵小。Tian Long采用数值模拟和实验验证方法研究了叶片尖隙对离心泵气液两相流和空化特性的影响。结果表明,模型泵的叶片尖隙值越小,其临界空化数越小,其中0.3mm尖隙值的模型泵中,叶片表面的压力分布和泵内的湍流动能受空化数影响最小。Yang Wenjie通过数值模拟和实验研究表明,不同间隙的螺旋离心泵推动间隙空化所需的工况条件不同。随着这种螺旋离心泵空化余量的减小,1.2mm间隙的模型泵将首先经历间隙空化。模型泵的间隙越接近1.2mm,所需的空化余量越大,以促进间隙空化。本文描述了一种低温半开式叶轮高速离心泵,其工作介质为乙二醇水溶液,用于特定类型的太空应用(如温控系统)。太空应用对小体积高速离心泵的期望和需求更高,这容易在泵内部引发空化,导致液压性能下降,连续的高频高压气泡对过流部件的金属表面冲击,造成金属损伤并缩短使用寿命。因此,防止高速泵的空化需求日益迫切。传统的民用或工业离心泵分析和研究主要集中在纯水和低速状态。本文详细讨论了高速运行和多组分非牛顿乙二醇水溶液的空化现象。目前对乙二醇水溶液在高速离心泵中的不同尖隙空化特性的研究数据很少。因此,研究太空温控系统中使用的微型化和高速离心泵的特殊介质的不同尖隙空化特性至关重要。二、模型测试与分析
2.1 测试高速泵
研究对象的参数如下:额定流量Qv=0.000111 m³/s,增压值 ΔP=170 kPa,额定速度 n=9400 r/min,比速 ns=32,叶片为二维圆柱形,介质为乙二醇水溶液,叶轮为4*4半开式复合型。泵的几何尺寸如表1所示。泵体与叶片顶部的间隙 TC(0.4, 0.6, 0.8)。尖隙 TC 大小使用不锈钢调整螺钉和离心泵结构在图1中进行调整。2.2 水力特性测试的验证
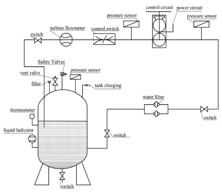
在符合 GB/T3216-2005 标准的液压测试平台上,使用四叶复合离心泵进行了空化试验。乙二醇水溶液的密度为 1030 kg/m³,温度为7.6°C,流量QV = 400 L/h。初始进口压力 Pj = 0 kPa。通过调整进口阀逐渐降低泵的进口压力,直到进出口压差降低值达到额定值的3%,此时达到了临界空化裕度。将空化试验结果与数值模拟结果进行比较,以确保数值模拟的准确性,并在图2中展示了测试设置。为确保叶轮和蜗壳表面的光滑度和完成度,叶轮在1.6微米表面粗糙度的基础上完成加工。蜗壳在1.6微米表面粗糙度的基础上进行阳极化处理。处理后内表面的粗糙度非常小。图3描述了在没有空化的情况下,圆柱形后掠复合叶轮叶顶 TC=0.6 和设计运行点的实验值与数值模拟预期性能参数之间的差异。扬程值与试验值之间的误差均小于5%,表明数值计算模拟可以模拟离心泵在设计运行点的内部流场,本文中提出的数值模拟结果是准确的。尽管功率误差不超过10%,但由于在数值模拟过程中没有考虑离心泵运行中各种轴承和摩擦对的机械摩擦损失,误差仍然显著。
2.3 在不同流量下的空化性能
虽然泵的流量仍然保持在设计值 Qv=0.000111 m³/s=400 L/h,并且性能没有突然下降,图 4a 描述了空化的早期阶段,流量计底部已经开始出现气泡。图 4b 中泵流量突然减少到 Q=0.000083 m³/s=300 L/h,表明空化已达到所需的3%水平。图4c描述了在不同流量下,一种高速离心泵(使用圆柱形后掠复合叶轮)的空化特性曲线和实验性能值图。当进口负压Pj=−50 kPa 时,进口与出口之间的压力差约为额定压力差的3%。此时的关键空化出口压力为泵出口压力 P2=105 kPa。图4d描述了进口负压为0–(−50)kPa,泵的出口流量保持在 400 L/h,泵进出口之间的压力差为 155 kPa,接近额定压力差的3%的限制范围。此时,泵的出口压力为 105 kPa,即为关键空化出口压力。进口压力远低于泵正常工作时的最小进口压力 10 kPa,这证明了离心泵的设计合理,泵能完全适应离心泵的抗空化性能要求。
三、计算方法与网格划分
3.1 控制方程式
乙二醇水溶液在复杂、不稳定的三维湍流中运动,其雷诺时均 N–S 方程如下:其中 ∇ 是笛卡尔坐标系中的向量算子,u 是流体的速度向量;P 是流体压力;F 是单位质量的力向量;ρ, µ 分别是流体的密度和分子粘度。
3.2 空化相变模型
基于两相流模型的概念,空化模型使用 Rayleigh–Plesset 气泡动力学方程解决空化气泡的相变动态过程。Singhal 模型与 N–S 方程结合,并采用了 RNG
湍流模型来解方程。通过将 Singhal 模型与连续性方程结合,得到了密度变化率与蒸汽相体积分数的关系,如下所示:其中蒸汽体积分数
与空化气泡数密度和空化气泡直径
有关:Singhal 模型基于 Rayleigh–Plesset 气泡动力学方程:通过忽略粘度和表面张力效应,并结合各相的连续性方程,获得了相变率的表达式:其中
是饱和蒸汽压力,
是表面张力系数,
是蒸汽体积分数。相变率与蒸汽相的密度、液相的密度和混合物的密度相关,用于模拟离心泵内流空化和空化侵蚀。Singhal 模型考虑了湍流和不可凝缩气体的影响。Singhal 蒸汽相质量分数输运方程如下:其中
是蒸汽体积分数,
是平均蒸汽相速度;
和
分别是蒸发和凝结的相变率,其表达式如下:
3.3 计算方法
使用 SIMPLE 算法和完全空化模型“Cavitation”。乙二醇水溶液是第一相,而乙二醇水溶液气泡则是第二相。乙二醇水溶液的饱和蒸汽压力为1.41 kPa。
3.4 网格划分
数值模拟结果的精度由流体域网格的质量决定。采用有限体积法进行CFD模拟,并使用非结构化网格。使用自适应二叉树笛卡尔坐标算法以及更规则的笛卡尔六面体网格,这可以在壁面附近生成体贴合网格。通过连续分割网格,CAB算法自动调整网格大小以适应几何表面和几何边界线。在为自动加密复杂细节的几何形状生成网格时,也使用了自适应算法。该专有网格生成算法与同等精度级别的四面体网格相比,具有更低的网格数量。图 5 描述了流通部件的三维流动通道,其中 TC(0.4,0.6,0.8),图 6 描述了叶轮的网格图,计算域包括叶轮、蜗壳和叶轮顶部间隙层。由于本研究重点是高速离心泵的空化特性,网格拓扑、网格数量和网格长宽比都严格控制,以确保相邻网格节点之间的尺寸差异较小,从而获得更准确的数值模拟结果。图 6d 的第一层壁面 y+ = 0.0417~6.9045,平均壁面 y+ = 3.4731。通过对网格独立性的验证,计算域中的网格总数最终估计约为260万,考虑到计算机的能力和效率,网格独立性验证如表 2 所示。
四、空化计算结果与分析
4.1 不同进口负压下中间横截面的空化分析
图 8 展示了在设计流量下,进口负压为 Pj=−20 kPa、−30 kPa、−40 kPa、−50 kPa 和 −60 kPa 时,泵内部在 A 点的内部气泡体积分布,三种不同 TC 值均为 φ24。A 和 B 的位置尺寸在图 10 中显示。在 φ24 叶轮范围之外,没有发生空化。三个 TC 值的空化区域遵循一致的模式:空化区域展现出随着叶轮高速旋转的旋转空化特性,主要集中在叶片吸力面(因为吸力面压力低于压力面),且空化强度在叶轮叶片前缘附近最大(因为前缘处的压力低于其他位置)。三个不同 TC 值之间的空化区域发生变化,当进口负压大于 TC 值时,空化影响更强。图 8 显示,Pj=−60 kPa/TC 0.4 的组合具有最强的空化强度,体积分数几乎为1,最大的空化区域呈近似圆形。另一方面,Pj=−20 kPa/TC 0.8 的组合具有最弱的空化强度,体积分数低于0.5,最小的空化区域呈近似矩形。这主要是由于进口压力的增加。在 Pj=−60 kPa 到 Pj=−20 kPa 的过程中,由于在低流速和高速条件下受进口压力影响,流态更易受到较大 TC 值的影响,空化体积分数的梯度变化顺序为 TC 0.8 > TC 0.6 > TC 0.4。当进口负压从 Pj=−60 kPa 变化到 Pj=−20 kPa 时,空化强度稳定降低,体积分数值从低于0.8降到少于0.65。此外,空化水平在区域性波动,靠近 A 位置的空化区域 φ24 逐渐缩减到与 B 位置 φ12.2 切线的矩形区域,其中 d、e 和 f 等级的空化区域减少最为显著,a–j 的间隔值在图 7 中的 K 处显示。以 TC0.6 为例,从 A 到 J,空化强度值逐渐减小,空化首先在 A 值处发生,空化区域逐渐向轮毂内部扩展,也向叶轮出口扩展,随着叶轮半径增加,压力逐渐增加并达到气泡破裂压力,压缩气泡,空化位于 φ24 圆形区域。当 g 值空化区域扩展到下一个叶片工作面时,气泡从叶尖发展到叶片中部区域到25%弦长,但当遇到工作面上的高压区时,空化扩展头开始收缩并形成新月形。由于 F 和 D 值的联合压力,在 E 值处形成一个钩状区域。如图 8 所示,离心泵蜗壳的不对称性导致叶轮与壳体连接处压力和速度分布不均,叶片以 4 * 4 的排列交错。由于蜗壳的非正交性,四个叶片上的空化区域并不完全相同。随着进口压力的增加,1号位置空化强度变化的梯度最快,随着进口压力的增加,从最强变为最弱,1–4 的位置显示在图 7 中。4.2 在不同进口负压下的叶尖空化比较
通过比较图 8 和图 9,可以看出与图 8 中最大空化区域相比,图 9 中最大空化区域更靠近叶片的叶尖进口处。这主要是因为叶片压力面的压力高于吸力面,导致一部分流体绕过叶尖边缘流入机壳和叶片之间的轴向间隙,引起叶尖间隙处的泄漏流,最终回流到叶轮进口。如图 9 所示,叶尖间隙空化强度从叶片背面向工作面逐渐减弱,并受到叶轮高速旋转的影响。叶尖空化呈现出弧形分布,随着空化强度的减弱,弧形半径逐渐增大。图 10 显示了在设计流量下离心泵进口负压 (Pj=(−20 kPa; −30 kPa; −40 kPa; −50 kPa; −60 kPa)) 的叶轮中段不同时间的压力分布图。从泵的进口到出口,压力逐渐增大,叶片吸力面和压力面的压力变化规律沿着叶轮内介质流动方向逐渐增大。叶片表面压力的增加反映了叶片工作面的工作特性,即随着叶片接触液体面积的增加,叶片的工作增加,压力沿液体流动方向增加。泵进口处出现低压区(空化发生处),但由于离心泵的蜗壳不对称,泵内的压力分布也是不对称的。随着泵进口负压的增加,叶片表面上的气泡分布逐渐增多,并从叶片的低压区逐渐扩展到流道,泵内的低压区增加,高压区开始减小。当气泡随液体流动到出口时,由于压力增加,气泡将会破裂并侵蚀叶片,导致泵外特性曲线的下降。4.3 不均匀进口负压下泵内气泡分析
如图 11 所示,观察了在三个不同的 TC 值和五个不同的进口负压值下叶轮内气泡的演变。在叶轮的轴向和侧向视图中,体积分数大于或等于 0.5 的气泡区域被移除,揭示了以下特征:图 11. 不同进口负压下不同 TC 的气相体积分数分布图1. 当泵的进口负压降低时,气泡的分散和体积也逐渐减小。由于离心泵蜗壳的不对称性以及叶片的 4 * 4 错开布局,叶轮的动静耦合处压力和速度的不对称分布,气泡的体积变化存在差异,变化最剧烈的区域位于位置 1,位置 1-4 在图 7 中显示。2. 在 Pj=−0.06 MPa 的轴向图像中,显示了最多的气泡数量,引起完全或严重的空化并阻碍液体出流。气泡强度从 0.9 级降至 0.7 级,气泡体积逐渐减小,尽管幅度很小。在侧视图中,整个叶片高度都有 1 级强度的气泡。随着气泡随流向出口扩散,压力增大侵蚀叶片,导致高速离心泵外部特性曲线下降。3. 从 Pj=−0.06 MPa 降至 Pj=−0.05 MPa,气泡体积明显减小。之前占据整个进口的气泡,现在只占据叶片吸力面前端的空间。气泡数量相对均匀,呈块状分布,按照四个叶片在吸力面前缘的分布。气泡强度小于 0.7。叶尖处的气泡体积明显小于叶根处,且在侧视图中呈零星块状出现。叶根处的小面积内,气泡强度为 1 级。此时泵的性能通常是正常的。4. 气泡体积从 Pj=−0.05 MPa 下降到 Pj=−0.04 MPa,占据叶片吸力面前缘空间的气泡减少到 Pj=−0.05 MPa 时的近一半大小。空化强度水平在 0.7 范围内局部存在,但通常低于 0.6。侧视图图表显示,在 Pj=−0.05 MPa 时,尖端方向的气泡体积缩小到原来的大约三分之一,仅不规则出现。TC 0.4 > TC 0.8,空化强度水平小于 0.9。5. 如轴向图像所示,从 Pj=−0.04 MPa 降至 Pj=−0.03 MPa,气泡体积减小。结合侧视图观察,叶片进口处的零星块状气泡减少到在 TC 0.6 和 TC 0.8 时非常小的零星点,而空化强度水平仍在 0.9 的限定区域内存在。6. 从 Pj=−0.03 MPa 到 Pj=−0.02 MPa,轴向视图上进口处的气泡消失,而在侧向视图中,叶片高度方向上的气泡体积减小。
五、结论
本文分析了在不同进口负压下,空间热控制系统中高速离心泵内乙二醇水溶液的空化特性,并得出以下结论:1. 随着叶尖间隙 TC 值的增加,流体粘度的影响相比小间隙减少,压力差的主导作用变得突出。小间隙中的泄漏流动由粘度和压力差共同驱动。因此,在大间隙下,叶片工作面和非工作面上的压力变化具有一致的稳定性;而在小间隙中,粘度和压力差的结合作用具有不一致的稳定性。空化特性更为稳定,空化强度和气泡体积减小。2. 气泡体积强度和数量最显著的减少发生在 Pj=−0.06 MPa 到 Pj=−0.05 MPa 之间,其次是从 Pj=−0.05 MPa 到 Pj=−0.04 MPa 的变化较不明显。3. 与叶片相比,叶片间隙中严重空化的区域更倾向于叶尖进口。空化强度从叶片背面向工作面逐渐减弱,叶尖空化区域分布呈圆弧形。此外,圆弧的半径逐渐增大。4. Pj=−60 kPa/TC 0.4 的组合具有最高的空化强度,而 Pj=−20 kPa/TC 0.8 的组合则具有最低的空化强度。翻译转载自:《Nature Scientific Report》: The cavitation characteristics of aerospace high-speed centrifugal pumps with different tip clearance
(来源:多相流在线)