来自清华大学、中国科学院过程工程研究所、中国石油大学的学者:Jinghong Su, Lei Yi, Bidan Zhao, Cheng Wang, Fan Xu, Junwu Wang和Chao Sun近期针对流体-流体两相泰勒-库埃特湍流中,分散相如何调节阻力的问题开展了数值仿真工作,并取得了重要突破。通过推导出一个由对流、扩散和两相界面贡献组成的守恒量描述周向动量的径向输运过程。通过界面解析的直接数值模拟发现两相界面的存在始终对动量输运产生正向贡献,导致阻力增强。同时,降低分散相与连续相之间的密度比和粘度比会分别减少局部对流和扩散项对动量输运的贡献,从而实现阻力减小。降低密度比和降低粘度比共同作用可以实现流体-流体两相湍流中的阻力调制。

1 引言
两相流,由两种不相溶的流体组成,广泛存在于各种工程应用中。分散相的存在可以显著改变流动特性,导致阻力增强或阻力减小(Balachandar和Eaton,2010;Ceccio,2010;Lohse,2018;Mathai,Lohse和Sun,2020;Yi等,2023)。正确理解阻力调制机制对相关工程应用具有重要意义;然而,目前对这一机制的综合理解仍然缺失。
液-液两相流的一个典型特征是界面动力学,这涉及到变形(Rallison,1984;Rosti,De Vita & Brandt,2019;Hakansson等,2022)、聚结(Stone,1994;Kavehpour,2015)和破碎(Lemenand等,2017;Olad等,2023;Ni,2024)。当聚结与破碎达到平衡时,分散相表现出特定的尺寸分布,这种分布可以通过对数正态分布很好地描述(Yi,Toschi & Sun,2021)。在固定的雷诺数下,分散相对于不同的体积分数几乎具有相同的平均尺寸(Yi等,2022)。已经观察到,分散相的体积分数与液-液两相湍流的总体输运呈正相关(Yi等,2022),这表明增加界面面积可能有助于阻力增强。最近,使用界面解析的直接数值模拟研究了液-液两相流中分散相聚结的影响(De Vita等,2019;Cannon等,2021),发现聚结有效地减小了界面面积,从而削弱了阻力增强效应,反之亦然(De Vita等,2019)。此外,界面变形也被发现对气-液湍流阻力减小具有重要意义(Van den Berg等,2005;van Gils等,2013;Spandan,Verzicco & Lohse,2017;Lohse,2018;Mathai等,2020)。具有大尺寸或高变形性的气泡表现出显著的阻力减小效果(Lu,Fernández & Tryggvason,2005;Verschoof等,2016),但在加入表面活性剂后,气泡尺寸减小,阻力减小效果消失(Verschoof等,2016)。
现有研究表明,界面动力学在液-液和气-液两相流中引发了截然不同的阻力调制效应(Lohse,2018;Mathai等,2020;Yi等,2023)。然而,分散相流体性质在这些效应中所起的作用仍不清楚。分散相的界面动力学、密度和粘度相互交织,使得很难隔离单个效应对阻力调制的影响。在本研究中,我们利用界面解析的三维直接数值模拟来追踪Taylor-Couette湍流中的界面动力学。此外,我们还采用动量预算分析来研究分散相的界面动力学、密度和粘度的单个及耦合效应。我们旨在揭示这些因素是如何起作用的,并确定它们在阻力调制中是相互合作还是相互竞争的。
2 结果与讨论
我们使用基于开源OpenFOAM v8的流体体积(VOF)方法和分段线性界面计算(PLIC)方法,对Taylor-Couette(TC)系统中的两相流体-流体流动进行了界面解析的三维直接数值模拟(Rusche,2003;Chen,Zhao & Wan,2022)。我们考虑两种互不相溶且不可压缩的流体,它们被限制在两个同轴圆柱体之间,其半径分别为 ri(内)和 ro(外)。在这项工作中,我们选择固定外圆柱体,而让内圆柱体以恒定的角速度 ωi 旋转。两相流动由Navier-Stokes方程控制。

其中,u 是速度,p 是压力。ρ 和 μ 分别是可变的密度和粘度。连续的载体相的特征在于密度 ρf 和粘度 μf,而分散相则由密度 ρd 和粘度 μd 描述。引入相分数 α 来表征可变的密度和粘度,即 ρ=αρd+(1−α)ρf 和 μ=αμd+(1−α)μf。本研究采用Brackbill、Kothe和Zemach(1992)提出的连续表面力方法来描述界面张力,即 f=−σκ∇α,其中 σ 表示表面张力系数,κ=∇⋅(∇α/|∇α|) 表示界面曲率。VOF方法的准确性通常受到界面清晰度(Gamet等,2020)和虚假电流(Vachaparambil和Einarsrud,2019;Fan和Anglart,2020)的影响。详细的数值方法和计算精度见补充材料,网址为https://doi.org/10.1017/jfm.2024.206。
在模拟的TC系统中,为降低计算成本而不影响结果的准确性,选择了六重旋转对称(即模拟的周向区域设为 π/3)。这一选择已在单相和多相TC湍流中得到了验证(Brauckmann和Eckhardt,2013;Spandan、Verzicco和Lohse,2018;Assen等,2022;Xu等,2022,2023)。TC系统的曲率定义为 η=ri/ro=0.714,长宽比定义为 Γ=L/d=2π/3,其中 d=ro−ri 是间隙宽度,L 是轴向长度。在径向方向上施加无滑移和不透边界条件,而在轴向和周向方向上施加周期性边界条件。内外圆柱体的相分数采用纽曼边界条件,导致默认的接触角为 90∘。系统在周向、径向和轴向方向上分别由 (336×192×192) 个网格点均匀离散化。网格间距以单相流动时内圆柱上的剪应力为基准,以壁面单位 y+ 来测量。在径向方向上,均匀的网格间距为 0.725y+。另外,在粘性底层内部嵌入了总共六个网格,其厚度为 0.0359d。在轴向方向上,均匀的网格间距为 1.519y+。在周向方向上,网格间距从靠近内壁的 1.085y+ 变化到靠近外壁的 1.519y+。雷诺数Re和韦伯数We分别固定为2000和1260。泰勒数固定为Ta=[Re(1+η)3/(8η2)]2=6.1×106。与单相流相比,由于解决两相界面所需的计算资源增加,以及捕获毛细波传播所需的时间步长减小(Brackbill等,1992),我们选择 Ta=6.1×10^6 以确保与我们可用的计算资源兼容。当泰勒数超过 3×10^6 时,流场过渡到TC湍流的经典状态(Grossmann、Lohse和Sun,2016)。我们选择的泰勒数属于这一范围,确保了足够的湍流信息。选择韦伯数为1260是为了确保虚假速度保持在可接受的范围内,如图S2所示(见补充材料)。最大Courant-Friedrichs-Lewy数设置为0.2。所有呈现的统计数据都是在达到统计稳态后至少经过20个周期的时间收集的。
由于TC系统中的离心效应,分散相的分布受到分散相与连续相之间的密度比 ξρ=ρd/ρf 和粘度比 ξμ=μd/μf 的影响。图1展示了分散相体积分数为 φ=20% 的瞬时界面快照和相分布,为我们提供了关于系统中界面和相组分空间分布和行为的宝贵见解。图中还用绿色箭头表示了平均径向-轴向速度矢量,以说明泰勒涡旋的结构和强度。当 ξρ=1 和 ξμ=1 时,分散相主要积聚在泰勒涡旋的中心,这主要是由于系统中存在的线性剪切梯度(Hori等,2023)。当 ξρ=1/4 和 ξμ=1 时,由于旋转流产生的离心力,分散相迁移到系统的内壁。因此,分散相在内壁附近的羽流喷射区域聚集,并削弱了泰勒涡旋。此外,当 ξρ=1/4 和 ξμ=1/4 时,分散相的分布在内壁附近变得更加集中,泰勒涡旋再次被削弱。结果表明,降低密度比 ξρ 和粘度比 ξμ 有助于分散相在内壁附近的聚集和泰勒涡旋的削弱。我们的目标是分析分散相密度和粘度对减阻过程的特定影响。

图1. 瞬时界面快照和相应的方位角及时间平均相分数。
通过依次改变体积分数 φ、密度比 ξρ 和粘度比 ξμ,我们进行了一项全面研究,以调查这些参数对阻力调制的影响(见表1)。研究结果揭示了几个重要发现。首先,当 ξρ=1 和 ξμ=1 时,会导致阻力略微增加,表明存在轻微的阻力增强效应。然而,当我们将 ξρ 降低到 1/4 时,观察到显著的阻力减小。此外,进一步将 ξμ 降低到 1/4 会使阻力减小效应更加明显。此外,我们发现对于分散相体积分数为 φ=10% 和 φ=20% 的情况,阻力调制显示出相似的趋势。在固定的密度比 ξρ 和粘度比 ξμ 下,体积分数 φ 的增加会导致更强的阻力增强或阻力减小效应。换句话说,随着分散相体积分数的增加,其对阻力的影响变得更加明显。这些结果强调了分散相的密度、粘度和体积分数对流体力学,特别是在阻力增强和阻力减小效应方面的重要影响。
表1. 两相流中的阻力调制
T代表施加在内圆柱上的扭矩,Tφ=0 表示与单相流条件特别相关的扭矩

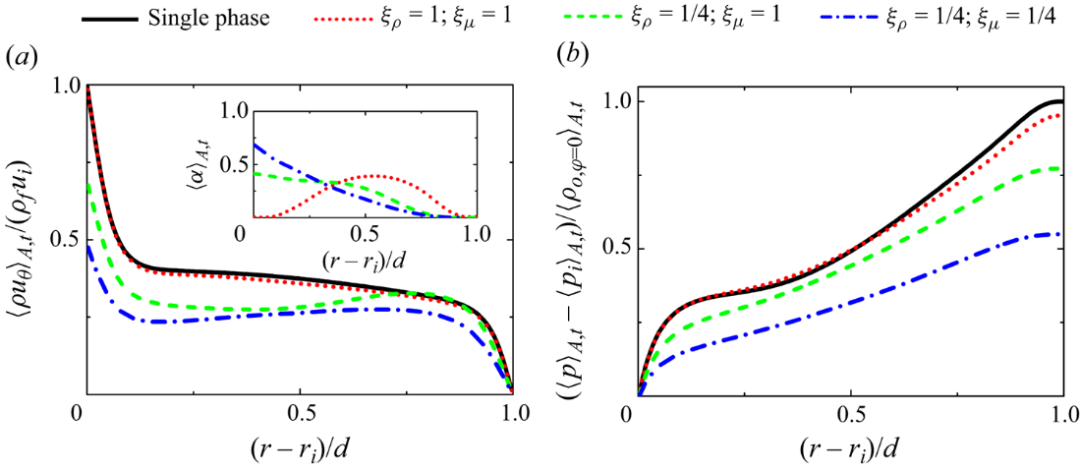
鉴于分散相体积分数为 φ=10% 和 φ=20% 时阻力调制具有相似趋势,我们接下来重点关注 φ=20% 的情况。为了研究分散相对流场的影响,图2显示了根据相分布(见插图)计算的归一化方位角动量和压力的径向分布。当 ξρ=1 和 ξμ=1 时,两相流主体区域的方位角动量略有减小。压力在远离内圆柱的区域受到调制,并在接近外圆柱时减小。具体来说,调制从相分数偏离零的点开始,但总体上调制并不显著。通过降低密度比 ξρ 或粘度比 ξμ,观察到主体区域的方位角动量和压力显著减小,这与观察到的阻力调制一致。这表明降低密度比和粘度比在导致这种减小方面起着重要作用。密度比和粘度比被确定为影响阻力减小的关键因素。

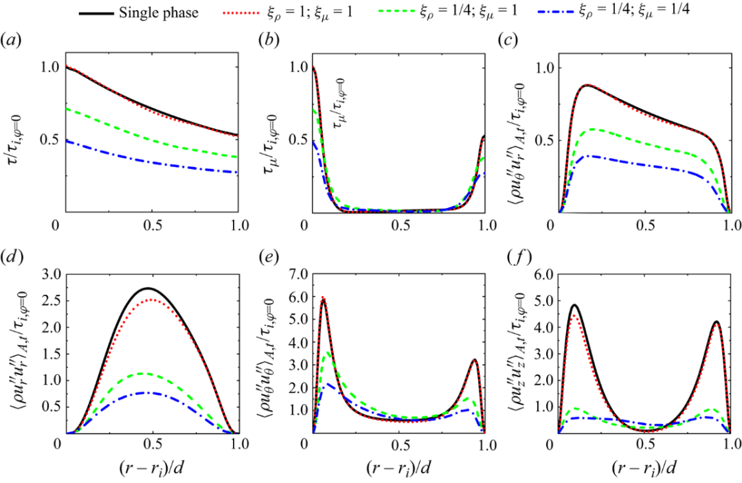
为了研究分散相密度和粘度对湍流输运的影响,我们研究了总剪切应力(图3a)、粘性剪切应力(图3b)及其差值(图3c)的径向分布。由于分散相和连续相之间的密度差异,雷诺平均不再适用。因此,我们采用了Favre平均(Favre Reference Favre1969),即对速度进行密度加权平均。

为了进一步研究分散相对湍流波动的影响,我们展示了Favre法向应力(图3d–f),这通常通过恒定密度流系统中的均方根(r.m.s.)速度波动进行研究(Zhu等,Reference Zhu, Ostilla-Mónico, Verzicco and Lohse2016;Wang等,Reference Wang, Zhang, Wang, Li, Zhang and Li2023b)。对于具有 ξρ=1 和 ξμ=1 的两相流,法向应力调制并不显著,法向应力的分布几乎与单相流的情况相同。通过降低密度比 ξρ 或粘度比 ξμ,法向应力 ⟨ρu′′ru′′r⟩A,t 总体上有所减小。法向应力 ⟨ρu′′θu′′θ⟩A,t 在内圆柱和外圆柱附近显著减小,而在主体区域则增加。在聚合物减阻系统的均方根流向速度波动研究中也发现了类似的现象,即壁面附近的均方根流向速度波动减小,但远离壁面的地方增加(Min等,Reference Min, Yoo, Choi and Joseph2003;Wang等人,Reference Wang, Zhang, Wang, Li, Zhang and Li2023b)。法向应力 ⟨ρu′′zu′′z⟩A,t 显示更强的减小,表明泰勒涡流已被显著削弱,如图1中平均径向-轴向速度矢量所示。因此,通过降低分散相的密度或粘度导致的减阻伴随着湍流波动的显著减小。
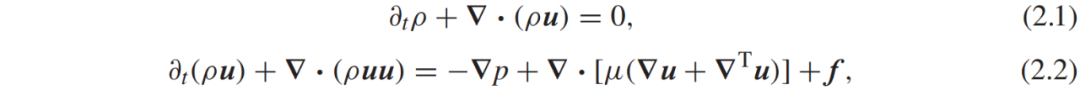
为了定量描述分散相密度和粘度对阻力调节的影响,我们推导了一个守恒量 Jω,该守恒量用于表征两相泰勒-库埃特湍流中方位角动量的径向输运,

并给出了(2.3)式右侧三项的显式表达式,这三项分别来自于对流、扩散和两相界面的贡献(详细的推导过程见补充材料):

这三个项分别与密度、粘度和界面张力密切相关。通过用单相非涡流层流对(2.3)进行归一化处理,我们得到努塞尔数,它代表方位角动量的整体输运。此外,我们还可以将对流、扩散和两相界面的贡献表示为径向位置 r 的函数。在泰勒-库埃特系统中,努塞尔数和扭矩之间的关系是众所周知的。这种关系提供了一种方便的方法,可以有效地解耦密度、粘度和两相界面对减阻的影响(见补充材料中的图S3)。请注意,对流贡献包括平均部分和湍流部分,与湍流部分相比,平均部分可以忽略不计(见补充材料中的图S4)。因此,与平板流动类似(Picano,Breugem & Brandt,Reference Picano,Breugem and Brandt2015;Wang,Jiang & Sun,Reference Wang,Jiang and Sun2023a),对流贡献可能相当于湍流贡献。
对于具有 ξρ=1 和 ξμ=1 的两相流,在界面贡献相对较大的区域,对流贡献略有减小(见图4a,c),这表明两相界面对对流过程具有微妙的影响,这与方位角动量输运的守恒性相一致。

图4. 动量输运分析。(a) 归一化对流贡献、(b) 归一化扩散贡献和 (c) 归一化界面贡献随径向位置的变化情况。(d) 对动量输运及其三项贡献进行径向平均,以表征整个系统内的相应项
考虑到扩散贡献的有限变化(见图4b),显然两相界面成为导致阻力增强的主要因素。鉴于阻力增强的效果并不显著(见图4d),我们还计算了雷诺数和表面张力系数均增加三倍的情况,再次表明界面张力在阻力增强中起主导作用(见补充材料中的图S5)。重要的是要注意,如图4(c)和4(d)所示,界面贡献始终为正,这表明两相界面在系统中并未对减阻做出贡献。但是,由于得到的界面贡献量较小,约占守恒量的 4%,未来应对这一项进行更深入的研究。
由于界面贡献主要作用是提高阻力,而在我们的减阻案例中非常小(见图4d),因此我们将在后续的分析中重点关注对流(Jωadv(r))和扩散(Jωdif(r))贡献。将ξρ降低到1/4会导致局部对流贡献减少。密度比ξρ=1/4会促进分散相在内壁附近聚集,进而导致上游对流贡献显著减少。这最终导致对流贡献整体减少(见图4a)。根据动量输运守恒定律,扩散贡献会重新分配(见图4b),但总扩散贡献保持不变(见图4d)。进一步将ξμ降低到1/4会导致内壁附近局部扩散贡献减少(见图4b),最终导致总扩散贡献减少(见图4d)。此外,根据动量输运守恒定律,对流贡献受到调节并再次整体减少(见图4a)。显然,密度比ξρ和粘度比ξμ的降低在减阻中起主导作用。因此,分散相对动量输运的阻碍作用是由于密度和粘度比的降低。在我们正在进行的关于两相平面库埃特湍流中阻力调制的初步模拟中,我们观察到了类似的阻力调制机制。这超出了当前工作的范围,将在未来的工作中进行系统研究并与本研究进行比较。
鉴于公式(2.3)的普遍性,我们的结论可以扩展到分析湍流中的气泡减阻现象(van Gils等,2013)。由于气泡与连续相之间的密度和粘度比极低,对流和扩散贡献显著降低,从而实现减阻。同时,已有报道指出,当存在大气泡时,气泡减阻是有效的,但在加入表面活性剂使气泡尺寸减小后,减阻效果消失(Verschoof等,2016)。我们可以为这一观察结果提供物理上的理解。加入表面活性剂以降低表面张力系数会导致气泡尺寸减小。然而,气泡尺寸的减小伴随着系统中界面面积的增加。因此,界面贡献对阻力的影响因界面面积的增加而增强,抵消了由低密度和粘度比引起的减阻效果。此外,气泡尺寸的减小也削弱了施加在小气泡上的有效向心力弗劳德数(van Gils等,2013),导致内壁附近的气体积累减少。这可以解释为什么在加入表面活性剂使气泡缩小到较小尺寸后,减阻效果会消失。
3 结论
总之,我们推导出一个守恒量,该守恒量表征了流体-流体两相泰勒-库埃特湍流中周向动量的径向输运。这个守恒量由三项组成:与密度相关的对流贡献、与粘度相关的扩散贡献以及界面贡献。我们的分析强调了两相界面、密度和粘度比在调节阻力方面所起的重要作用。具体来说,降低分散相与连续相之间的密度比会减少局部对流贡献,而降低粘度比会减少局部扩散贡献。通过调节和重新分配,这些效应导致动量输运整体减少。另一方面,两相界面始终对阻力增强产生正向贡献。通过考虑密度比、粘度比和两相界面之间的相互作用,我们得出结论,阻力调制是通过这些因素的共同影响实现的。当前的研究结果有助于我们更好地理解两相湍流中减阻的机制。
翻译转载自《Journal of Fluid Mechanics》Numerical study on the mechanism of drag modulation by dispersed drops in two-phase Taylor-Couette turbulence
(来源:多相流在线)
